當前很多離心風機廠家在高壓離心風機的維修與管理方面存在思想上的誤區,常將工作核心放在使用于經營方面。對高壓離心風機疏于管理,隨著使用次數的增加,時間的推移,導致在
由于離心鼓風機是許多科學與技術融于一體的結合體,而且各項技術之間的聯系又特別緊密不可分,以致于如果隨意一個環節發生故障,都會對其他部分的正常工作造成影響。要維修離
通常情況下,任何離心風機廠家都是需要對多級離心風機的信息建立相應的管理檔案的,企業的管理者能夠將多級離心風機的信息作為離心風機維護維修時進行正確判斷、分析和推理的
離心風機廠家解讀高壓離心風機機械部分常見故障的解決。
很多時候人們都會說到高壓離心風機的優化性檢測,那這所謂的優化性檢測是指什么呢?離心風機廠家為大家解答。
基于準確的庫存基礎數據,對每年多級離心風機備件采購計劃的信息跟蹤、庫存數量的變更、備件供貨渠道通暢性、現場故障對備件的依賴性等綜合分析,大大提高了多級離心風機備件
為適應離心風機廠家生產規模快速擴大和高壓離心風機的設備管理需要,從備件管理著手降低離心風機的維護成本對于企業的健康發展具有重要意義;同時也迫切需要我們建立一套綜合
依據高壓離心風機備件的本身價值和可維修性判斷,對高價值備件進行分類識別管理;高價值備件全壽命跟蹤管理的功能與作用還體現為以下兩點。
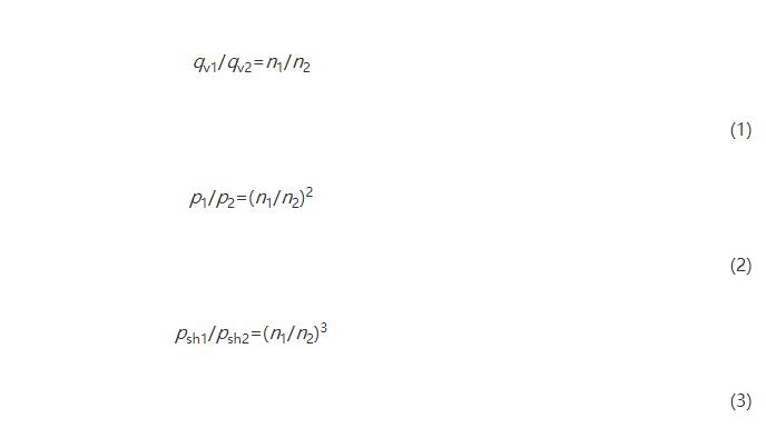
根據相似定律,在相似工況條件下多級離心風機的轉速由n1變為n2時,風機流量、全壓、軸功率均發生變化,變化前后各性能參數與轉速的關系如下:
多級離心風機的從業者應該努力掌握風機的結構、工作原理、性能特點及影響因素,從而可以根據不同運行工況,不同使用條件,設計選擇出綜合表現比較好的離心風機。伴隨人們對環
濟南實力風機制造有限公司m.mwjrt.cn 版權所有 技術支持:卓博科技 網站地圖
法律聲明:本網站部分內容來源于網絡,如有侵權請告知!我們立即刪除;本網站嚴格遵循國家相關法律法規規定,如有不當之處,請告知!我們立即刪除。